细胞力学~机械与酸碱的双感开关

细胞力学~机械与酸碱的双感开关

2025-10-31

undefined

在酸性环境中掌控细胞

       跑完五公里的傍晚,小腿肌肉总像被撒了把酸梅粉——又胀又刺的感觉里,藏着身体里一场悄无声息的“信号大会”。肌肉细胞正被运动带来的拉伸力“推搡”,周围环境又因为乳酸堆积变酸,就像同时接到两个模糊指令,细胞是怎么同时读懂这些物理和化学信号的呢?发表在《Current Biology》的研究《Coincidence Detection   of Membrane Stretch and Extracellular pH...》揭示了一个关键角色——质子感应受体OGR1(GPR68),它如同一个“双重开关”,只有在细胞外酸性环境与膜拉伸同时存在时才会被激活。

酸度”与“机械力”的共探测器

       OGR1是一种G蛋白偶联受体(GPCR),此前已知其能响应细胞外质子(即酸性环境),但研究团队发现一个意外现象:当细胞处于柔软基质(如0.2 kPa)时,即使环境酸性很强,OGR1也几乎不激活;而在坚硬基质(>1 GPa)上,酸性环境能强烈激活 OGR1,这暗示 OGR1 的激活可能依赖于机械力的协同作用。

undefined

                          图 1.OGR1介导的细胞内Ca2+库中Ca2+的释放具有基质刚度依赖性


操控细胞的“机械舞台”   

       为了验证机械力对OGR1   的影响,研究团队使用了ATMS 单轴应变拉伸设备,将DAOY   细胞接种在 ATMS设备的柔性膜上,通过调节柔性膜片的形变改变其刚度,对贴附在膜上的细胞施加单轴拉伸,模拟生理状态下的组织机械应力。对细胞分别进行不同时长的拉伸(4分钟、18分钟、1小时),再降低细胞外pH至6,观察OGR1激活情况(通过检测细胞内钙浓度 [Ca²+]变化)。

细胞的机械激活与刺激记忆

       拉伸时间依赖:在仅拉伸4分钟时,80% 的细胞在酸性环境下激活 OGR1;拉伸18分钟后,100% 细胞响应(图2A)。

      “机械记忆”效应:拉伸1小时后停止,即使1小时后再酸化,仍有60% 细胞激活OGR1,表明细胞对机械刺激有“记忆”(图 2B)。

如何 “解锁” OGR1 的酸性响应

       ATMS设备可实时控制拉伸与酸化的时序——先拉伸再酸化,或先酸化再拉伸。结果显示,只有当拉伸与酸化同时或先后发生时,OGR1 才会激活。

       1. 在pH值为7.8、6.8和6的条件下,OGR1在膜拉伸后的平均荧光增幅。

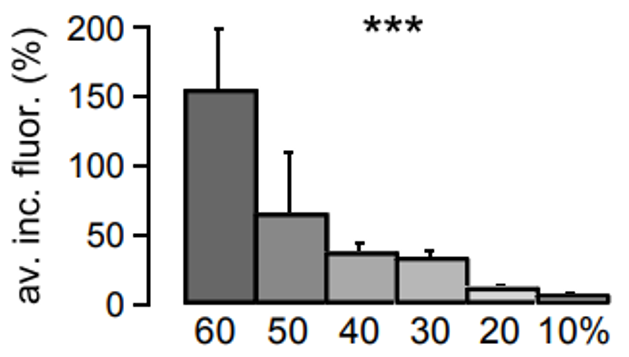
       2. 在pH = 6条件下不同膜拉伸程度对OGR1荧光强度平均增幅的影响。

从实验室到临床:OGR1 的双重感知能力有何意义?

       生理功能:OGR1 广泛表达于骨骼、牙齿等硬组织,其对“机械力+酸性” 的共响应可能参与骨发育和牙釉质形成(如文献提到OGR1突变可导致牙釉质发育不全)。

       疾病启示:肿瘤微环境常伴随酸性化和基质硬化,OGR1可能在此过程中促进癌细胞迁移与纤维化。ATMS设备揭示的机制,为开发靶向OGR1的抗癌药物提供了新思路。

       ATMS将“机械力”这一抽象的物理信号转化为可量化、可操控的实验变量。通过精准调节拉伸幅度、时长和频率,研究者得以解析OGR1这类 “机械——化学”双敏感受体的激活逻辑。未来,这类技术或许能帮助我们理解更多细胞对复杂微环境的响应机制,为疾病治疗开辟新方向。